В вероятност и статистика разпределението е характеристика на случайна променлива, описва вероятността на случайната променлива във всяка стойност.
Всяко разпределение има определена функция на плътност на вероятността и функция на разпределение на вероятностите.
Въпреки че има неопределен брой вероятностни разпределения, има няколко често използвани разпределения.
Разпределението на вероятностите се описва чрез кумулативната функция на разпределение F (x),
което е вероятността случайна променлива X да получи стойност по-малка или равна на x:
F ( x ) = P ( X ≤ x )
Кумулативната функция на разпределение F (x) се изчислява чрез интегриране на функцията на вероятностна плътност f (u) на непрекъсната случайна променлива X.

Кумулативната функция на разпределение F (x) се изчислява чрез сумиране на вероятностната масова функция P (u) на дискретна случайна променлива X.

Непрекъснатото разпределение е разпределението на непрекъсната случайна величина.
...
| Име на разпространението | Символ за разпределение | Функция на плътността на вероятността (pdf) | Означава | Дисперсия |
|---|---|---|---|---|
|
f X ( x ) |
μ = E ( X ) |
σ 2 = Var ( X ) |
||
| Нормално / гаус |
X ~ N (μ, σ 2 ) |
|
μ | σ 2 |
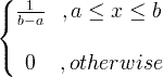
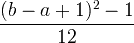
| Униформен |
X ~ U ( a , b ) |
![]() |
|
|
| Експоненциално | X ~ опит (λ) |
|
|
|
| Гама | X ~ гама ( c , λ) |
![]() x / 0, c / 0, λ/ 0 |
|
|
| Чи квадрат |
X ~ χ 2 ( k ) |
![]() |
k |
2 к |
| Уишарт | ||||
| F |
X ~ F ( k 1 , k 2 ) |
|||
| Бета | ||||
| Weibull | ||||
| Дневник-нормален |
X ~ LN (μ, σ 2 ) |
|||
| Рейли | ||||
| Коши | ||||
| Дирихле | ||||
| Лаплас | ||||
| Леви | ||||
| Ориз | ||||
| Студентски t |
Дискретно разпределение е разпределението на дискретна случайна величина.
...
| Име на разпространението | Символ за разпределение | Вероятностна функция на масата (pmf) | Означава | Дисперсия | |
|---|---|---|---|---|---|
|
f x ( k ) = P ( X = k ) k = 0,1,2, ... |
E ( x ) | Var ( x ) | |||
| Двучленен |
X ~ Кошче ( n , p ) |
|
np |
np (1- p ) |
|
| Поасон |
X ~ Поасон (λ) |
|
λ ≥ 0 |
λ |
λ |
| Униформен |
X ~ U ( a, b ) |
![]() |
|
|
|
| Геометрични |
X ~ Geom ( p ) |
|
|
|
|
| Хипергеометрични |
X ~ HG ( N , K , n ) |
![]() |
N = 0,1,2, ... К = 0,1, .., N n = 0,1, ..., N |
|
|
| Бернули |
X ~ Берн ( p ) |
![]() |
p |
p (1- p ) |
|
Advertising