L’inductor és un component elèctric que emmagatzema energia en camp magnètic.
L’inductor està format per una bobina de fil conductor.
En un esquema de circuits elèctrics, l’inductor marcat amb la lletra L.
La inductància es mesura en unitats d'Henry [L].
Els inductors redueixen el corrent en circuits de corrent altern i el curtcircuit en circuits de corrent continu.
![]()
Inductor |
|
Inductor del nucli de ferro |
|
Inductor variable |
|
Per a diversos inductors en sèrie, la inductància equivalent total és:
L Total = L 1 + L 2 + L 3 + ...
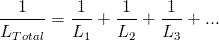
Per a diversos inductors en paral·lel, la inductància equivalent total és:
![]()
![]()

![]()
X L = ωL
Forma cartesiana:
Z L = jX L = jωL
Forma polar:
Z L = X L ∠90º
Advertising