Normes i lleis derivades. Taula de derivades de funcions.
La derivada d'una funció és la proporció de la diferència del valor de la funció f (x) en els punts x + Δx i x amb Δx, quan Δx és infinitesimalment petit. La derivada és la funció pendent o pendent de la recta tangent en el punt x.
![]()
La segona derivada ve donada per:
![]()
O simplement derivar la primera derivada:
![]()
El n º derivada es calcula mitjançant la derivació de f (x) n vegades.
Els n TH derivada igual a la derivada de la (n-1) derivat de:
f ( n ) ( x ) = [ f ( n -1) ( x )] '
Troba la quarta derivada de
f ( x ) = 2 x 5
f (4) ( x ) = [2 x 5 ] '' '' = [10 x 4 ] '' '= [40 x 3 ]' '= [120 x 2 ]' = 240 x
La derivada d’una funció és la inclinació de la línia tangencial.
| Regla de suma derivada |
( af ( x ) + bg ( x )) '= af' ( x ) + bg ' ( x ) |
| Regla de producte derivat |
( f ( x ) ∙ g ( x )) '= f' ( x ) g ( x ) + f ( x ) g ' ( x ) |
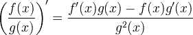
| Regla del quocient derivat |
![]() |
| Regla de cadena de derivats |
f ( g ( x )) '= f' ( g ( x )) ∙ g ' ( x ) |
Quan a i b són constants.
( af ( x ) + bg ( x )) '= af' ( x ) + bg ' ( x )
Trobeu la derivada de:
3 x 2 + 4 x.
Segons la regla de suma:
a = 3, b = 4
f ( x ) = x 2 , g ( x ) = x
f ' ( x ) = 2 x , g' ( x ) = 1
(3 x 2 + 4 x ) '= 3⋅2 x + 4⋅1 = 6 x + 4
( f ( x ) ∙ g ( x )) '= f' ( x ) g ( x ) + f ( x ) g ' ( x )

f ( g ( x )) '= f' ( g ( x )) ∙ g ' ( x )
Aquesta regla es pot entendre millor amb la notació de Lagrange:
![]()
Per a Δx petit, podem obtenir una aproximació a f (x 0 + Δx), quan sabem f (x 0 ) i f '(x 0 ):
f ( x 0 + Δ x ) ≈ f ( x 0 ) + f '( x 0 ) ⋅Δ x
| Nom de la funció | Funció | Derivada |
|---|---|---|
|
f ( x ) |
f '( x ) | |
| Constant |
const |
0 |
| Lineal |
x |
1 |
| Potència |
x a |
destral a- 1 |
| Exponencial |
e x |
e x |
| Exponencial |
una x |
a x ln a |
| Logaritme natural |
ln ( x ) |
|
| Logaritme |
registre b ( x ) |
|
| Sinus |
pecat x |
cos x |
| Cosinus |
cos x |
-sin x |
| Tangent |
tan x |
|
| Arcsine |
arcsin x |
|
| Arccosina |
arccos x |
|
| Arctangent |
arctan x |
|
| Sinus hiperbòlic |
sinh x |
cosh x |
| Cosinus hiperbòlic |
cosh x |
sinh x |
| Tangent hiperbòlica |
tanh x |
|
| Sinus hiperbòlic invers |
sinh -1 x |
|
| Cosinus hiperbòlic invers |
cosh -1 x |
|
| Tangent hiperbòlica inversa |
tanh -1 x |
|
f ( x ) = x 3 +5 x 2 + x +8
f ' ( x ) = 3 x 2 + 2⋅5 x + 1 + 0 = 3 x 2 +10 x +1
f ( x ) = sin (3 x 2 )
Quan apliqueu la regla de la cadena:
f ' ( x ) = cos (3 x 2 ) ⋅ [3 x 2 ]' = cos (3 x 2 ) ⋅ 6 x
Quan la primera derivada d’una funció és zero en el punt x 0 .
f '( x 0 ) = 0
A continuació, la segona derivada en el punt x 0 , f "(x 0 ), pot indicar el tipus d'aquest punt:
|
f "( x 0 )/ 0 |
mínim local |
|
f "( x 0 ) <0 |
màxim local |
|
f "( x 0 ) = 0 |
indeterminat |
Advertising