Odvozená pravidla a zákony. Tabulka derivací funkcí.
Derivací funkce je poměr rozdílu hodnoty funkce f (x) v bodech x + Δx a x s Δx, když je Δx nekonečně malý. Derivací je sklon funkce nebo sklon tečny v bodě x.
![]()
Druhá derivace je dána vztahem:
![]()
Nebo jednoduše odvodit první derivaci:
![]()
N th derivát se vypočítá odvození f (x) n-krát.
K n th derivát se rovná derivát (n-1) derivát:
f ( n ) ( x ) = [ f ( n -1) ( x )] '
Najděte čtvrtou derivaci
f ( x ) = 2 x 5
f (4) ( x ) = [2 x 5 ] '' '= [10 x 4 ]' '= [40 x 3 ]' '= [120 x 2 ]' = 240 x
Derivací funkce je slop tangenciální čáry.
| Pravidlo odvozené částky |
( af ( x ) + bg ( x )) '= af' ( x ) + bg ' ( x ) |
| Pravidlo odvozeného produktu |
( f ( x ) ∙ g ( x )) '= f' ( x ) g ( x ) + f ( x ) g ' ( x ) |
| Derivační pravidlo kvocientu |
![]() |
| Pravidlo odvozeného řetězce |
f ( g ( x )) '= f' ( g ( x )) ∙ g ' ( x ) |
Když a a b jsou konstanty.
( af ( x ) + bg ( x )) '= af' ( x ) + bg ' ( x )
Najděte derivaci:
3 x 2 + 4 x.
Podle pravidla součtu:
a = 3, b = 4
f ( x ) = x 2 , g ( x ) = x
f ' ( x ) = 2 x , g' ( x ) = 1
(3 x 2 + 4 x ) '= 3⋅2 x + 4⋅1 = 6 x + 4
( f ( x ) ∙ g ( x )) '= f' ( x ) g ( x ) + f ( x ) g ' ( x )

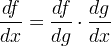
f ( g ( x )) '= f' ( g ( x )) ∙ g ' ( x )
Toto pravidlo lze lépe pochopit pomocí Lagrangeovy notace:
![]()
Pro malé Δx můžeme získat aproximaci f (x 0 + Δx), když známe f (x 0 ) a f '(x 0 ):
f ( x 0 + Δ x ) ≈ f ( x 0 ) + f '( x 0 ) ⋅Δ x
| Název funkce | Funkce | Derivát |
|---|---|---|
|
f ( x ) |
f '( x ) | |
| Konstantní |
konst |
0 |
| Lineární |
x |
1 |
| Napájení |
x a |
sekera a- 1 |
| Exponenciální |
e x |
e x |
| Exponenciální |
a x |
a x ln a |
| Přirozený logaritmus |
ln ( x ) |
|
| Logaritmus |
log b ( x ) |
|
| Sinus |
hřích x |
cos x |
| Kosinus |
cos x |
-sin x |
| Tečna |
opálení x |
|
| Arcsine |
arcsin x |
|
| Arckosin |
arccos x |
|
| Arkustangens |
arctan x |
|
| Hyperbolický sinus |
sinh x |
cosh x |
| Hyperbolický kosinus |
cosh x |
sinh x |
| Hyperbolická tečna |
tanh x |
|
| Inverzní hyperbolický sinus |
sinh -1 x |
|
| Inverzní hyperbolický kosinus |
cosh -1 x |
|
| Inverzní hyperbolická tečna |
tanh -1 x |
|
f ( x ) = x 3 +5 x 2 + x +8
f ' ( x ) = 3 x 2 + 2⋅5 x + 1 + 0 = 3 x 2 +10 x +1
f ( x ) = hřích (3 x 2 )
Při použití pravidla řetězu:
f ' ( x ) = cos (3 x 2 ) ⋅ [3 x 2 ]' = cos (3 x 2 ) ⋅ 6 x
Když je první derivace funkce v bodě x 0 nula .
f '( x 0 ) = 0
Potom druhá derivace v bodě x 0 , f '' (x 0 ), může indikovat typ tohoto bodu:
|
f '' ( x 0 )/ 0 |
místní minimum |
|
f '' ( x 0 ) <0 |
místní maximum |
|
f '' ( x 0 ) = 0 |
neurčeno |