Induktori on sähkökomponentti, joka tallentaa energiaa magneettikenttään.
Induktori on valmistettu johtavan kelan kelasta.
Sähköpiirikaaviossa induktori, joka on merkitty L-kirjaimella.
Induktanssi mitataan Henry [L] -yksiköinä.
Induktori vähentää virtaa AC-piireissä ja oikosulku DC-piireissä.
![]()
Kela |
|
Rautasydämen kela |
|
Säädettävä induktori |
|
Useiden sarjassa olevien induktoreiden kokonaisekvivalenttinen induktanssi on:
L Yhteensä = L 1 + L 2 + L 3 + ...
Useilla rinnakkain olevilla induktoreilla kokonaisinduktanssi on:
![]()
![]()

![]()
X L = w
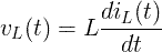
Suorakulmainen muoto:
Z L = jX L = jωL
Polaarimuoto:
Z L = X L ~ 90º