En probabilité et statistique, la distribution est une caractéristique d'une variable aléatoire, décrit la probabilité de la variable aléatoire dans chaque valeur.
Chaque distribution a une certaine fonction de densité de probabilité et une fonction de distribution de probabilité.
Bien qu'il existe un nombre indéfini de distributions de probabilité, plusieurs distributions courantes sont utilisées.
La distribution de probabilité est décrite par la fonction de distribution cumulative F (x),
qui est la probabilité de la variable aléatoire X d'obtenir une valeur inférieure ou égale à x:
F ( x ) = P ( X ≤ x )
La fonction de distribution cumulative F (x) est calculée par intégration de la fonction de densité de probabilité f (u) de la variable aléatoire continue X.

La fonction de distribution cumulative F (x) est calculée par sommation de la fonction de masse de probabilité P (u) de la variable aléatoire discrète X.

La distribution continue est la distribution d'une variable aléatoire continue.
...
| Nom de la distribution | Symbole de distribution | Fonction de densité de probabilité (pdf) | Signifier | Variance |
|---|---|---|---|---|
|
f X ( x ) |
μ = E ( X ) |
σ 2 = Var ( X ) |
||
| Normal / gaussien |
X ~ N (μ, σ 2 ) |
|
μ | σ 2 |
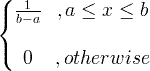
| Uniforme |
X ~ U ( a , b ) |
![]() |
|
|
| Exponentiel | X ~ exp (λ) |
|
|
|
| Gamma | X ~ gamma ( c , λ) |
![]() x / 0, c / 0, λ/ 0 |
|
|
| Chi carré |
X ~ χ 2 ( k ) |
![]() |
k |
2 km |
| Wishart | ||||
| F |
X ~ F ( k 1 , k 2 ) |
|||
| Bêta | ||||
| Weibull | ||||
| Log-normal |
X ~ LN (μ, σ 2 ) |
|||
| Rayleigh | ||||
| Cauchy | ||||
| Dirichlet | ||||
| Laplace | ||||
| Prélèvement | ||||
| Riz | ||||
| Étudiant t |
La distribution discrète est la distribution d'une variable aléatoire discrète.
...
| Nom de la distribution | Symbole de distribution | Fonction de masse de probabilité (pmf) | Signifier | Variance | |
|---|---|---|---|---|---|
|
f x ( k ) = P ( X = k ) k = 0,1,2, ... |
E ( x ) | Var ( x ) | |||
| Binôme |
X ~ Bin ( n , p ) |
|
np |
np (1- p ) |
|
| Poisson |
X ~ Poisson (λ) |
|
λ ≥ 0 |
λ |
λ |
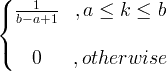
| Uniforme |
X ~ U ( a, b ) |
![]() |
|
|
|
| Géométrique |
X ~ Geom ( p ) |
|
|
|
|
| Hyper-géométrique |
X ~ HG ( N , K , n ) |
![]() |
N = 0,1,2, ... K = 0,1, .., N n = 0,1, ..., N |
|
|
| Bernoulli |
X ~ Berne ( p ) |
![]() |
p |
p (1 à p ) |
|
Advertising