વિદ્યુત પ્રતિકાર વ્યાખ્યા અને ગણતરીઓ.
પ્રતિકાર એ વિદ્યુત માત્રા છે જે ઉપકરણ અથવા સામગ્રી તેના દ્વારા ઇલેક્ટ્રિક પ્રવાહને કેવી રીતે ઘટાડે છે તે માપે છે .
પ્રતિકાર ઓહ્મ (Ω) ના એકમોમાં માપવામાં આવે છે .
જો આપણે પાઈપોમાં પાણીના પ્રવાહની સમાનતા બનાવીશું, જ્યારે પાઇપ પાતળા હોય ત્યારે પ્રતિકાર મોટો હોય છે, તેથી પાણીનો પ્રવાહ ઓછો થાય છે.
કંડક્ટરનો પ્રતિકાર એ કંડક્ટરની સામગ્રીના સમયની પ્રતિકારકતા છે જે કંડક્ટરની ક્રોસ વિભાગીય ક્ષેત્ર દ્વારા વિભાજીત થાય છે.
![]()
આર ઓહ્મ્સ (Ω) માં પ્રતિકાર છે.
oh ઓમ્સ-મીટર (Ω × મી) માં પ્રતિકારક શક્તિ છે
l મીટર (મી) માં કંડક્ટરની લંબાઈ છે
એ ચોરસ મીટર (મીટર 2 ) માં કંડક્ટરનો ક્રોસ વિભાગીય ક્ષેત્ર છે
પાણીના પાઈપોની સમાનતા સાથે આ સૂત્રને સમજવું સરળ છે:
![]()
આર એ ઓહ્મ્સ (Ω) માં રેઝિસ્ટરનો પ્રતિકાર છે.
વી એ વોલ્ટ્સ (વી) માં રેઝિસ્ટર પરનો વોલ્ટેજ ડ્રોપ છે.
હું એમ્પીઅર્સ (એ) માં રેઝિસ્ટરનો વર્તમાન છું .
જ્યારે રેઝિસ્ટરનું તાપમાન વધે છે ત્યારે રેઝિસ્ટરનો પ્રતિકાર વધે છે.
આર 2 = આર 1 × (1 + α ( ટી 2 - ટી 1 ))
આર 2 એ ઓહ્મ (Ω) માં તાપમાન ટી 2 પર પ્રતિકાર છે .
આર 1 એ ઓહ્મ (Ω) માં તાપમાન ટી 1 પર પ્રતિકાર છે .
α તાપમાન ગુણાંક છે.

શ્રેણીમાં રેઝિસ્ટરનો કુલ સમકક્ષ પ્રતિકાર એ પ્રતિકાર મૂલ્યોનો સરવાળો છે:
આર કુલ = આર 1 + આર 2 + આર 3 + ...

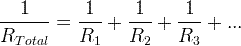
સમાંતરમાં રેઝિસ્ટરનો કુલ સમકક્ષ પ્રતિકાર આ દ્વારા આપવામાં આવે છે:
![]()
ઇલેક્ટ્રિકલ રેઝિસ્ટન્સને ઓહ્મીટર ઇન્સ્ટ્રુમેન્ટથી માપવામાં આવે છે.
રેઝિસ્ટર અથવા સર્કિટના પ્રતિકારને માપવા માટે, સર્કિટમાં વીજ પુરવઠો બંધ હોવો જોઈએ.
ઓહ્મમીટર સર્કિટના બે છેડાથી જોડાયેલ હોવું જોઈએ જેથી પ્રતિકાર વાંચી શકાય.
સુપરકોન્ડક્ટિવિટી 0ºK ની નજીકના ખૂબ નીચા તાપમાને શૂન્ય સામે પ્રતિકારની ડ્રોપ છે.
Advertising