Induktor je električna komponenta koja pohranjuje energiju u magnetsko polje.
Prigušnica je izrađena od zavojnice provodne žice.
U shemama električnih krugova, prigušnica označena slovom L.
Induktivitet se mjeri u jedinicama Henry [L].
Induktor smanjuje struju u izmjeničnim krugovima i kratki spoj u istosmjernim krugovima.
![]()
Induktor |
|
Induktor željezne jezgre |
|
Promjenjivi induktor |
|
Za nekoliko induktivnih induktora ukupna ekvivalentna induktivnost iznosi:
L Ukupno = L 1 + L 2 + L 3 + ...
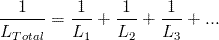
Za nekoliko paralelnih prigušnica ukupna ekvivalentna induktivnost iznosi:
![]()
![]()

![]()
X L = ωL
Kartezijanski oblik:
Z L = jX L = jωL
Polarni oblik:
Z L = X L ∠90º