Apa itu perhitungan kapasitor dan kapasitor.
Kapasitor merupakan komponen elektronik yang menyimpan muatan listrik . Kapasitor terbuat dari 2 konduktor dekat (biasanya pelat) yang dipisahkan oleh bahan dielektrik. Pelat mengumpulkan muatan listrik saat dihubungkan ke sumber daya. Satu pelat mengakumulasi muatan positif dan pelat lainnya mengakumulasi muatan negatif.
Kapasitansi adalah besarnya muatan listrik yang disimpan dalam kapasitor pada tegangan 1 Volt.
Kapasitansi diukur dalam satuan Farad (F).
Kapasitor memutuskan arus pada rangkaian arus searah (DC) dan arus pendek pada rangkaian arus bolak-balik (AC).
![]()
Kapasitor |
||
Kapasitor terpolarisasi |
||
Kapasitor variabel |
Kapasitansi (C) kapasitor sama dengan muatan listrik (Q) dibagi tegangan (V):
![]()
C adalah kapasitansi dalam farad (F)
Q adalah muatan listrik dalam satuan coulomb (C), yang disimpan di kapasitor
V adalah tegangan antara pelat kapasitor dalam volt (V)
Kapasitansi (C) kapasitor pelat sama dengan permitivitas (ε) dikalikan luas pelat (A) dibagi dengan celah atau jarak antar pelat (d):
![]()
C adalah kapasitansi kapasitor, dalam farad (F).
ε adalah permitivitas bahan dialektika kapasitor, dalam farad per meter (F / m).
A adalah luas plat kapasitor dalam meter persegi (m 2 ].
d adalah jarak antara pelat kapasitor, dalam meter (m).

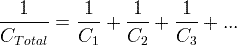
Kapasitansi total kapasitor dalam seri, C1, C2, C3, ..:
![]()

Kapasitansi total kapasitor secara paralel, C1, C2, C3, ..:
C Jumlah = C 1 + C 2 + C 3 + ...
Arus sesaat kapasitor i c (t) sama dengan kapasitansi kapasitor,
dikalikan dengan turunan tegangan kapasitor sesaat v c (t):
![]()
Tegangan sesaat kapasitor v c (t) sama dengan tegangan awal kapasitor,
ditambah 1 / C kali integral dari arus kapasitor sesaat i c (t) dari waktu ke waktu t:

Energi yang disimpan kapasitor E C dalam joule (J) sama dengan kapasitansi C dalam farad (F)
dikalikan tegangan kapasitor persegi V C dalam volt (V) dibagi 2:
E C = C × V C 2 /2
ω = 2 π f
ω - kecepatan sudut diukur dalam radian per detik (rad / s)
f - frekuensi diukur dalam hertz (Hz).
![]()
Bentuk Cartesian:
![]()
Bentuk kutub:
Z C = X C ∟-90º
| Kapasitor variabel | Kapasitor variabel memiliki kapasitansi yang dapat diubah |
| Kapasitor elektrolitik | Kapasitor elektrolitik digunakan saat kapasitansi tinggi dibutuhkan. Sebagian besar kapasitor elektrolitik terpolarisasi |
| Kapasitor berbentuk bola | Kapasitor berbentuk bola berbentuk bulat |
| Kapasitor daya | Kapasitor daya digunakan dalam sistem tenaga tegangan tinggi. |
| Kapasitor keramik | Kapasitor keramik memiliki bahan dielektrik keramik. Memiliki fungsi tegangan tinggi. |
| Kapasitor tantalum | Bahan dielektrik oksida tantalum. Memiliki kapasitansi yang tinggi |
| Kapasitor mika | Kapasitor akurasi tinggi |
| Kapasitor kertas | Bahan dielektrik kertas |