In probabilità e statistica la distribuzione è una caratteristica di una variabile casuale, descrive la probabilità della variabile casuale in ogni valore.
Ogni distribuzione ha una determinata funzione di densità di probabilità e una funzione di distribuzione di probabilità.
Sebbene ci sia un numero indefinito di distribuzioni di probabilità, ci sono diverse distribuzioni comuni in uso.
La distribuzione di probabilità è descritta dalla funzione di distribuzione cumulativa F (x),
che è la probabilità della variabile casuale X di ottenere un valore minore o uguale a x:
F ( x ) = P ( X ≤ x )
La funzione di distribuzione cumulativa F (x) è calcolata dall'integrazione della funzione di densità di probabilità f (u) della variabile casuale continua X.

La funzione di distribuzione cumulativa F (x) è calcolata sommando la funzione massa di probabilità P (u) della variabile casuale discreta X.

La distribuzione continua è la distribuzione di una variabile casuale continua.
...
| Nome della distribuzione | Simbolo di distribuzione | Funzione densità di probabilità (pdf) | Significare | Varianza |
|---|---|---|---|---|
|
f X ( x ) |
μ = E ( X ) |
σ 2 = Var ( X ) |
||
| Normale / gaussiana |
X ~ N (μ, σ 2 ) |
|
μ | σ 2 |
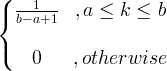
| Uniforme |
X ~ U ( a , b ) |
![]() |
|
|
| Esponenziale | X ~ exp (λ) |
|
|
|
| Gamma | X ~ gamma ( c , λ) |
![]() x / 0, c / 0, λ/ 0 |
|
|
| Chi quadrato |
X ~ χ 2 ( k ) |
![]() |
k |
2 k |
| Wishart | ||||
| F |
X ~ F ( k 1 , k 2 ) |
|||
| Beta | ||||
| Weibull | ||||
| Log-normale |
X ~ LN (μ, σ 2 ) |
|||
| Rayleigh | ||||
| Cauchy | ||||
| Dirichlet | ||||
| Laplace | ||||
| Levy | ||||
| Riso | ||||
| Student's t |
La distribuzione discreta è la distribuzione di una variabile casuale discreta.
...
| Nome della distribuzione | Simbolo di distribuzione | Probabilità funzione di massa (pmf) | Significare | Varianza | |
|---|---|---|---|---|---|
|
f x ( k ) = P ( X = k ) k = 0,1,2, ... |
E ( x ) | Var ( x ) | |||
| Binomiale |
X ~ Bin ( n , p ) |
|
np |
np (1- p ) |
|
| Poisson |
X ~ Poisson (λ) |
|
λ ≥ 0 |
λ |
λ |
| Uniforme |
X ~ U ( a, b ) |
![]() |
|
|
|
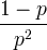
| Geometrico |
X ~ Geom ( p ) |
|
|
|
|
| Iper-geometrico |
X ~ HG ( N , K , n ) |
![]() |
N = 0,1,2, ... K = 0,1, .., N n = 0,1, ..., N |
|
|
| Bernoulli |
X ~ Berna ( p ) |
![]() |
p |
p (1- p ) |
|
Advertising