6桁の16進コードを入力するか、赤、緑、青のカラーレベル(0..255)を入力して、[変換]ボタンを押します。
R、Gは、Bの値が0 255から0..1の範囲を変更するために255で割ます。
R '= R / 255
G '= G / 255
B '= B / 255
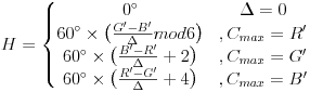
Cmax = max(R '、G '、B ')
Cmin = min(R '、G '、B ')
Δ= Cmax - Cmin
色相の計算:

飽和度の計算:

値の計算:
V = Cmax
| 色 | 色 名前 |
16進数 | (R、G、B) | (H、S、V) |
|---|---|---|---|---|
| ブラック | #000000 | (0,0,0) | (0°、0%、0%) | |
| 白い | #FFFFFF | (255,255,255) | (0°、0%、100%) | |
| 赤 | #FF0000 | (255,0,0) | (0°、100%、100%) | |
| ライム | #00FF00 | (0,255,0) | (120°、100%、100%) | |
| 青い | #0000FF | (0,0,255) | (240°、100%、100%) | |
| 黄 | #FFFF00 | (255,255,0) | (60°、100%、100%) | |
| シアン | #00FFFF | (0,255,255) | (180°、100%、100%) | |
| 赤紫色 | #FF00FF | (255,0,255) | (300°、100%、100%) | |
| 銀 | #BFBFBF | (191,191,191) | (0°、0%、75%) | |
| グレー | #808080 | (128,128,128) | (0°、0%、50%) | |
| あずき色 | #800000 | (128,0,0) | (0°、100%、50%) | |
| オリーブ | #808000 | (128,128,0) | (60°、100%、50%) | |
| 緑 | #008000 | (0,128,0) | (120°、100%、50%) | |
| 紫の | #800080 | (128,0,128) | (300°、100%、50%) | |
| ティール | #008080 | (0,128,128) | (180°、100%、50%) | |
| 海軍 | #000080 | (0,0,128) | (240°、100%、50%) |