微分法則と法則。関数テーブルの導関数。
関数の導関数は、Δxが非常に小さい場合の、点x +Δxおよびxでの関数値f(x)とΔxの差の比率です。導関数は、関数の傾きまたは点xでの接線の傾きです。
![]()
二次導関数は次の式で与えられます。
![]()
または、単に一次導関数を導出します。
![]()
N番目の導関数をf(x)はn回を導出することによって計算されます。
N番目の誘導体では、(N-1)誘導体の誘導体に等しいです。
f (n)(x)= [ f (n -1)(x)] '
の4次導関数を見つける
f(x)= 2 x 5
f (4)(x)= [2 x 5 ] '' '' = [10 x 4 ] '' '= [40 x 3 ]' '= [120 x 2 ]' = 240 x
関数の導関数は、接線の傾きです。
| 微分和ルール |
(af(x)+ bg(x)) '= af'(x)+ bg '(x) |
| 微分積の法則 |
(f(x)∙ g(x)) '= f'(x)g(x)+ f(x)g '(x) |
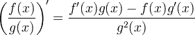
| 微分商の法則 |
![]() |
| 微分連鎖律 |
f(g(x)) '= f'(g(x))∙ g '(x) |
とき、AとBは定数です。
(af(x)+ bg(x)) '= af'(x)+ bg '(x)
次の導関数を見つけます。
3 x 2 + 4x。
合計ルールによると:
a = 3、b = 4
f(x)= x 2、g(x)= x
f '(x)= 2 x 、g'(x)= 1
(3 X 2 + 4 X)」=3⋅2 X +4⋅1= 6 、X + 4
(f(x)∙ g(x)) '= f'(x)g(x)+ f(x)g '(x)

f(g(x)) '= f'(g(x))∙ g '(x)
この規則は、ラグランジュの表記法でよりよく理解できます。
![]()
Δxが小さい場合、f(x 0)とf '(x 0)がわかっていると、f(x 0 +Δx)の近似値を得ることができます。
F(X 0 +Δ X)≈ F(X 0)+ F「(X 0)⋅Δ X
| 関数名 | 関数 | デリバティブ |
|---|---|---|
|
f(x) |
f '(x) | |
| 絶え間ない |
const |
0 |
| 線形 |
x |
1 |
| 力 |
x a |
斧a- 1 |
| 指数関数的 |
e x |
e x |
| 指数関数的 |
a x |
a x ln a |
| 自然対数 |
ln(x) |
|
| 対数 |
log b(x) |
|
| 正弦 |
sin x |
cos x |
| 余弦 |
cos x |
-sin x |
| 正接 |
タンx |
|
| Arcsine |
arcsin x |
|
| アークコサイン |
arccos x |
|
| アークタンジェント |
アークタンx |
|
| 双曲線正弦 |
sinh x |
cosh x |
| 双曲線余弦 |
cosh x |
sinh x |
| 双曲線正接 |
tanh x |
|
| 逆双曲線正弦 |
sinh -1 x |
|
| 逆双曲線余弦 |
cosh -1 x |
|
| 逆双曲線正接 |
tanh -1 x |
|
f(x)= x 3 +5 x 2 + x +8
F '(X)= 3 X 2 +2⋅5 X + 1 + 0 = 3 、X 2 +10 X +1
f(x)= sin(3 x 2)
連鎖律を適用する場合:
F '(X)= COS(3 X 2)⋅[3 X 2 ]' = COS(3 X 2)⋅6 X
関数の一次導関数は、点xでのゼロのとき0。
f '(x 0)= 0
次に、点x 0の2次導関数、f ''(x 0)は、その点のタイプを示すことができます。
|
f ''(x 0)/ 0 |
極小値 |
|
f ''(x 0)<0 |
極大値 |
|
f ''(x 0)= 0 |
未定 |