ಲ್ಯಾಪ್ಲೇಸ್ ರೂಪಾಂತರ

ಲ್ಯಾಪ್‌ಲೇಸ್ ರೂಪಾಂತರವು ಶೂನ್ಯದಿಂದ ಅನಂತಕ್ಕೆ ಏಕೀಕರಣದ ಮೂಲಕ ಸಮಯ ಡೊಮೇನ್ ಕಾರ್ಯವನ್ನು ಎಸ್-ಡೊಮೇನ್ ಕಾರ್ಯಕ್ಕೆ ಪರಿವರ್ತಿಸುತ್ತದೆ

 ಸಮಯದ ಡೊಮೇನ್ ಕಾರ್ಯದ, e -st ನಿಂದ ಗುಣಿಸಿದಾಗ .

ಡಿಫರೆನ್ಷಿಯಲ್ ಸಮೀಕರಣಗಳು ಮತ್ತು ಅವಿಭಾಜ್ಯಗಳಿಗೆ ತ್ವರಿತವಾಗಿ ಪರಿಹಾರಗಳನ್ನು ಕಂಡುಹಿಡಿಯಲು ಲ್ಯಾಪ್‌ಲೇಸ್ ರೂಪಾಂತರವನ್ನು ಬಳಸಲಾಗುತ್ತದೆ.

ಸಮಯ ಡೊಮೇನ್‌ನಲ್ಲಿನ ವ್ಯುತ್ಪನ್ನವನ್ನು s- ಡೊಮೇನ್‌ನಲ್ಲಿ s ನಿಂದ ಗುಣಿಸಿದಾಗ ಪರಿವರ್ತಿಸಲಾಗುತ್ತದೆ.

ಸಮಯ ಡೊಮೇನ್‌ನಲ್ಲಿನ ಏಕೀಕರಣವು s- ಡೊಮೇನ್‌ನಲ್ಲಿ s ನಿಂದ ವಿಭಜನೆಯಾಗಿ ಪರಿವರ್ತನೆಗೊಳ್ಳುತ್ತದೆ.

ಲ್ಯಾಪ್ಲೇಸ್ ರೂಪಾಂತರ ಕಾರ್ಯ

ಲ್ಯಾಪ್ಲೇಸ್ ರೂಪಾಂತರವನ್ನು ಎಲ್ }} ಆಪರೇಟರ್ನೊಂದಿಗೆ ವ್ಯಾಖ್ಯಾನಿಸಲಾಗಿದೆ :

F (ಗಳು) = \ mathcal {L} \ left \ {f (t) \ right \} = \ int_ {0} ^ {\ infty} e ^ {- st} f (t) dt

ವಿಲೋಮ ಲ್ಯಾಪ್ಲೇಸ್ ರೂಪಾಂತರ

ವಿಲೋಮ ಲ್ಯಾಪ್ಲೇಸ್ ರೂಪಾಂತರವನ್ನು ನೇರವಾಗಿ ಲೆಕ್ಕಹಾಕಬಹುದು.

ಸಾಮಾನ್ಯವಾಗಿ ವಿಲೋಮ ರೂಪಾಂತರವನ್ನು ರೂಪಾಂತರ ಕೋಷ್ಟಕದಿಂದ ನೀಡಲಾಗುತ್ತದೆ.

ಲ್ಯಾಪ್ಲೇಸ್ ರೂಪಾಂತರ ಟೇಬಲ್

ಕಾರ್ಯದ ಹೆಸರು ಸಮಯ ಡೊಮೇನ್ ಕಾರ್ಯ ಲ್ಯಾಪ್ಲೇಸ್ ರೂಪಾಂತರ

f ( ಟಿ )

ಎಫ್ ( ಗಳು ) = ಎಲ್ { ಎಫ್ ( ಟಿ )}

ನಿರಂತರ 1 \ frac {1} {s}
ರೇಖೀಯ ಟಿ \ frac {1} {s ^ 2}
ಶಕ್ತಿ

ಟಿ ಎನ್

\ frac {n!} {s ^ {n + 1}}

ಶಕ್ತಿ

ಟಿ

Γ ( ಒಂದು +1) ⋅ ಗಳು - ( ಒಂದು +1)

ಘಾತಾಂಕ

ನಲ್ಲಿ

\ frac {1} {sa}

ಸೈನ್

ಪಾಪದ ನಲ್ಲಿ

\ frac {a} {s ^ 2 + a ^ 2}

ಕೊಸೈನ್

ಕಾಸ್ ನಲ್ಲಿ

\ frac {s} {s ^ 2 + a ^ 2}

ಹೈಪರ್ಬೋಲಿಕ್ ಸೈನ್

ಮಾನ್ಸಿಂಗ್ ನಲ್ಲಿ

\ frac {a} {s ^ 2-a ^ 2}

ಹೈಪರ್ಬೋಲಿಕ್ ಕೊಸೈನ್

cosh ನಲ್ಲಿ

\ frac {s} {s ^ 2-a ^ 2}

ಬೆಳೆಯುತ್ತಿರುವ ಸೈನ್

ಟಿ ಪಾಪದ ನಲ್ಲಿ

\ frac {2as} {(s ^ 2 + a ^ 2) ^ 2}

ಬೆಳೆಯುತ್ತಿರುವ ಕೊಸೈನ್

ಟಿ ಕಾಸ್ ನಲ್ಲಿ

\ frac {s ^ 2-a ^ 2} {(s ^ 2 + a ^ 2) ^ 2}

ಕೊಳೆಯುತ್ತಿರುವ ಸೈನ್

e -at ಪಾಪ ωt

\ frac {\ ಒಮೆಗಾ} {\ ಎಡ (ರು + ಎ \ ಬಲ) ^ 2 + \ ಒಮೆಗಾ ^ 2}

ಕೊಳೆಯುತ್ತಿರುವ ಕೊಸೈನ್

e -at cos ωt

\ frac {s + a} {\ ಎಡ (s + a \ right) ^ 2 + \ ಒಮೆಗಾ ^ 2}

ಡೆಲ್ಟಾ ಕಾರ್ಯ

δ ( ಟಿ )

1

ವಿಳಂಬವಾದ ಡೆಲ್ಟಾ

δ ( ಟಾ )

e -as

ಲ್ಯಾಪ್ಲೇಸ್ ರೂಪಾಂತರ ಗುಣಲಕ್ಷಣಗಳು

ಆಸ್ತಿಯ ಹೆಸರು ಸಮಯ ಡೊಮೇನ್ ಕಾರ್ಯ ಲ್ಯಾಪ್ಲೇಸ್ ರೂಪಾಂತರ ಕಾಮೆಂಟ್ ಮಾಡಿ
 

f ( ಟಿ )

ಎಫ್ ( ಗಳು )

 
ರೇಖೀಯತೆ af ( t ) + bg ( t ) aF ( ಗಳು ) + bG ( ಗಳು ) a , b ಸ್ಥಿರವಾಗಿರುತ್ತದೆ
ಸ್ಕೇಲ್ ಬದಲಾವಣೆ f ( ನಲ್ಲಿ ) \ frac {1} {a} F \ ಎಡ (\ frac {s} {a} \ ಬಲ) a / 0
ಶಿಫ್ಟ್ e -at f ( t ) ಎಫ್ ( ರು + )  
ವಿಳಂಬ f ( ta ) - ಮಾಹಿತಿ ಎಫ್ ( ಗಳು )  
ವ್ಯುತ್ಪತ್ತಿ \ frac {df (t)} {dt} sF ( ಗಳು ) - f (0)  
ಎನ್-ನೇ ವ್ಯುತ್ಪತ್ತಿ \ frac {d ^ nf (t)} {dt ^ n} s n f ( s ) - s n -1 f (0) - s n -2 f '(0) -...- f ( n -1) (0)  
ಶಕ್ತಿ t n f ( t ) (-1) ^ n \ frac {d ^ nF (ಗಳು)} {ds ^ n}  
ಏಕೀಕರಣ \ int_ {0} ^ {t} f (x) dx \ frac {1} {s} F (ಗಳು)  
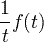
ಪರಸ್ಪರ \ frac {1} {t} f (t) \ int_ {s} ^ {\ infty} F (x) dx  
ಸಮಾವೇಶ f ( t ) * g ( t ) ಎಫ್ ( ಗಳು ) ⋅ ಜಿ ( ಗಳು ) * ಕನ್ವಲ್ಯೂಷನ್ ಆಪರೇಟರ್ ಆಗಿದೆ
ಆವರ್ತಕ ಕ್ರಿಯೆ f ( t ) = f ( t + T ) \ frac {1} {1-e ^ {- sT}} \ int_ {0} ^ {T} e ^ {- sx} f (x) dx  

ಲ್ಯಾಪ್ಲೇಸ್ ರೂಪಾಂತರ ಉದಾಹರಣೆಗಳು

ಉದಾಹರಣೆ # 1

ಎಫ್ (ಟಿ) ನ ರೂಪಾಂತರವನ್ನು ಹುಡುಕಿ:

f ( ಟಿ ) = 3 ಟಿ + 2 ಟಿ 2

ಪರಿಹಾರ:

ℒ { t } = 1 / s 2

ℒ { t 2 } = 2 / ಸೆ 3

F ( ಗಳು ) = ℒ { f ( t )} = ℒ {3 t + 2 t 2 } = 3ℒ { t } + 2ℒ { t 2 } = 3 / s 2 + 4 / s 3

 

ಉದಾಹರಣೆ # 2

ಎಫ್ (ಗಳ) ವಿಲೋಮ ರೂಪಾಂತರವನ್ನು ಹುಡುಕಿ:

ಎಫ್ ( ಗಳು ) = 3 / ( ರು 2 + ಸೆ - 6)

ಪರಿಹಾರ:

ವಿಲೋಮ ರೂಪಾಂತರವನ್ನು ಕಂಡುಹಿಡಿಯಲು, ನಾವು s ಡೊಮೇನ್ ಕಾರ್ಯವನ್ನು ಸರಳ ಸ್ವರೂಪಕ್ಕೆ ಬದಲಾಯಿಸಬೇಕಾಗಿದೆ:

F ( ಗಳು ) = 3 / ( s 2 + s - 6) = 3 / [( s -2) ( s +3)] = a / ( s -2) + b / ( s +3)

[ a ( s +3) + b ( s -2)] / [( s -2) ( s +3)] = 3 / [( s -2) ( s +3)]

a ( s +3) + b ( s -2) = 3

ಎ ಮತ್ತು ಬಿ ಅನ್ನು ಕಂಡುಹಿಡಿಯಲು, ನಾವು 2 ಸಮೀಕರಣಗಳನ್ನು ಪಡೆಯುತ್ತೇವೆ - ಒಂದು ಗುಣಾಂಕಗಳಲ್ಲಿ ಒಂದು ಮತ್ತು ಉಳಿದವು ಎರಡನೆಯದು:

( a + b ) s + 3 a -2 b = 3

a + b = 0, 3 a -2 b = 3

a = 3/5, ಬಿ = -3/5

ಎಫ್ ( ಗಳು ) = 3/5 ( ರು -2) - 3/5 ( ರು +3)

ಘಾತೀಯ ಕಾರ್ಯಕ್ಕಾಗಿ ರೂಪಾಂತರ ಕೋಷ್ಟಕವನ್ನು ಬಳಸುವ ಮೂಲಕ ಈಗ ಎಫ್ (ಗಳನ್ನು) ಸುಲಭವಾಗಿ ಪರಿವರ್ತಿಸಬಹುದು:

f ( ಟಿ ) = (3/5) 2 ಟಿ - (3/5) -3 ಟಿ

 


ಸಹ ನೋಡಿ

Advertising

ಕ್ಯಾಲ್ಕುಲಸ್