Įveskite raudonos, žalios ir mėlynos spalvų lygius (0..255) ir paspauskite mygtuką Konvertuoti :
R , G , B vertės yra padalintas 255 pakeisti diapazoną nuo 0..255 į 0..1:
R '= R / 255
G '= G / 255
B '= B / 255
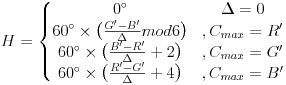
Cmax = max ( R ', G ', B ')
Cmin = min ( R ', G ', B ')
Δ = Cmax - Cmin
Atspalvio apskaičiavimas:

Sodrumo skaičiavimas:

Lengvumo skaičiavimas:
L = ( Cmax + Cmin ) / 2
| Spalva | Spalva vardas |
Hex | (R, G, B) | (H, S, L) |
|---|---|---|---|---|
| Juoda | # 000000 | (0,0,0) | (0 °, 0%, 0%) | |
| Balta | #FFFFFF | (255 255 255) | (0 °, 0%, 100%) | |
| Raudona | # FF0000 | (255,0,0) | (0 °, 100%, 50%) | |
| Kalkės | # 00FF00 | (0,255,0) | (120 °, 100%, 50%) | |
| Mėlyna | # 0000FF | (0,0255) | (240 °, 100%, 50%) | |
| Geltona | # FFFF00 | (255 255,0) | (60 °, 100%, 50%) | |
| Žalsvai mėlyna | # 00FFFF | (0,255,255) | (180 °, 100%, 50%) | |
| Magenta | # FF00FF | (255,0255) | (300 °, 100%, 50%) | |
| sidabras | #BFBFBF | (191,191,191) | (0 °, 0%, 75%) | |
| Pilka | # 808080 | (128 128 128) | (0 °, 0%, 50%) | |
| Kaštoninė | # 800000 | (128,0,0) | (0 °, 100%, 25%) | |
| Alyvuogių | # 808000 | (128 128,0) | (60 °, 100%, 25%) | |
| Žalias | # 008000 | (0,128,0) | (120 °, 100%, 25%) | |
| Violetinė | # 800080 | (128,0128) | (300 °, 100%, 25%) | |
| Tealas | # 008080 | (0,128,128) | (180 °, 100%, 25%) | |
| karinis jūrų laivynas | # 000080 | (0,0128) | (240 °, 100%, 25%) |
Advertising