Definisi dan pengiraan rintangan elektrik.
Rintangan adalah kuantiti elektrik yang mengukur bagaimana alat atau bahan mengurangkan aliran arus elektrik yang melaluinya.
Rintangan diukur dalam unit ohm (Ω).
Sekiranya kita membuat analogi terhadap aliran air dalam paip, rintangan lebih besar apabila paip lebih tipis, sehingga aliran air berkurang.
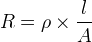
Rintangan konduktor adalah daya tahan bahan konduktor kali panjang konduktor dibahagi dengan luas keratan rentas konduktor.
![]()
R ialah rintangan dalam ohm (Ω).
ρ ialah ketahanan dalam meter ohm (Ω × m)
l adalah panjang konduktor dalam meter (m)
A ialah luas keratan rentas konduktor dalam meter persegi (m 2 )
Sangat mudah untuk memahami formula ini dengan analogi paip air:
![]()
R adalah rintangan perintang dalam ohm (Ω).
V adalah penurunan voltan pada perintang dalam volt (V).
Saya adalah arus perintang dalam amper (A).
Rintangan perintang meningkat apabila suhu perintang meningkat.
R 2 = R 1 × (1 + α ( T 2 - T 1 ))
R 2 adalah rintangan pada suhu T 2 dalam ohm (Ω).
R 1 ialah rintangan pada suhu T 1 dalam ohm (Ω).
α adalah pekali suhu.

Keseluruhan rintangan perintang dalam siri adalah jumlah nilai rintangan:
R Jumlah = R 1 + R 2 + R 3 + ...

Keseluruhan daya tahan perintang secara selari diberikan oleh:
![]()
Rintangan elektrik diukur dengan instrumen ohmmeter.
Untuk mengukur rintangan perintang atau litar, litar harus mematikan bekalan kuasa.
Ohmmeter harus disambungkan ke dua hujung litar supaya rintangan dapat dibaca.
Superconduktiviti adalah penurunan rintangan ke sifar pada suhu yang sangat rendah berhampiran 0ºK.
Advertising