Apakah pengiraan kapasitor dan kapasitor.
Kapasitor adalah komponen elektronik yang menyimpan cas elektrik . Kapasitor terbuat dari 2 konduktor rapat (biasanya plat) yang dipisahkan oleh bahan dielektrik. Plat mengumpul cas elektrik apabila disambungkan ke sumber kuasa. Satu plat terkumpul cas positif dan plat lain mengumpul cas negatif.
Kapasitans adalah jumlah cas elektrik yang disimpan di dalam kapasitor pada voltan 1 Volt.
Kapasitansi diukur dalam unit Farad (F).
Kapasitor memutuskan arus dalam litar arus terus (DC) dan litar pintas dalam litar arus bolak-balik (AC).
![]()
Kapasitor |
||
Kapasitor terpolarisasi |
||
Kapasitor boleh ubah |
Kapasitansi (C) kapasitor sama dengan cas elektrik (Q) dibahagi dengan voltan (V):
![]()
C adalah kapasitansi dalam farad (F)
Q adalah cas elektrik dalam coulomb (C), yang disimpan pada kapasitor
V ialah voltan antara plat kapasitor dalam volt (V)
Kapasitansi (C) kapasitor plat sama dengan permitiviti (ε) kali luas plat (A) dibahagi dengan jurang atau jarak antara plat (d):
![]()
C adalah kapasiti kapasitor, dalam farad (F).
ε adalah kebolehmampuan bahan dialektik kapasitor, dalam farad per meter (F / m).
A adalah luas plat kapasitor dalam meter persegi (m 2 ].
d adalah jarak antara plat kapasitor, dalam meter (m).

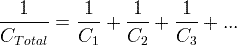
Jumlah kapasitor kapasitor dalam siri, C1, C2, C3, ..:
![]()

Jumlah kapasitor kapasitor secara selari, C1, C2, C3, ..:
C Jumlah = C 1 + C 2 + C 3 + ...
Arus sesaat kapasitor i c (t) sama dengan kapasitansi kapasitor,
kali terbitan voltan kapasitor sesaat v c (t):
![]()
Voltan sesaat kapasitor v c (t) sama dengan voltan awal kapasitor,
ditambah 1 / C kali integral arus kapasitor sesaat i c (t) dari masa ke masa t:

Tenaga kapasitor yang tersimpan E C dalam joule (J) sama dengan kapasitansi C dalam farad (F)
kali ganda voltan kapasitor V C dalam volt (V) dibahagi dengan 2:
E C = C × V C 2 /2
ω = 2 π f
ω - halaju sudut diukur dalam radian sesaat (rad / s)
f - frekuensi diukur dalam hertz (Hz).
![]()
Bentuk Cartesian:
![]()
Bentuk kutub:
Z C = X C ∟-90º
| Kapasitor boleh ubah | Kapasitor berubah-ubah mempunyai kapasitans berubah |
| Kapasitor elektrolitik | Kapasitor elektrolitik digunakan apabila kapasitansi tinggi diperlukan. Sebilangan besar kapasitor elektrolit terpolarisasi |
| Kapasitor sfera | Kapasitor sfera mempunyai bentuk sfera |
| Kapasitor kuasa | Kapasitor kuasa digunakan dalam sistem kuasa voltan tinggi. |
| Kapasitor seramik | Kapasitor seramik mempunyai bahan dielektrik seramik. Mempunyai fungsi voltan tinggi. |
| Kapasitor Tantalum | Bahan dielektrik tantalum oksida. Mempunyai kapasitansi yang tinggi |
| Kapasitor Mica | Kapasitor ketepatan tinggi |
| Kapasitor kertas | Bahan dielektrik kertas |