Dalam kebarangkalian dan pengagihan statistik adalah ciri pemboleh ubah rawak, menerangkan kebarangkalian pemboleh ubah rawak dalam setiap nilai.
Setiap taburan mempunyai fungsi ketumpatan kebarangkalian dan fungsi taburan kebarangkalian.
Walaupun terdapat sebilangan besar pengagihan kebarangkalian, ada beberapa pengedaran biasa yang digunakan.
Taburan kebarangkalian dijelaskan oleh fungsi taburan kumulatif F (x),
yang merupakan kebarangkalian pemboleh ubah rawak X untuk mendapatkan nilai lebih kecil daripada atau sama dengan x:
F ( x ) = P ( X ≤ x )
Fungsi taburan kumulatif F (x) dikira dengan penyatuan fungsi ketumpatan kebarangkalian f (u) pemboleh ubah rawak berterusan X.

Fungsi taburan kumulatif F (x) dikira dengan penjumlahan fungsi jisim kebarangkalian P (u) pemboleh ubah rawak diskrit X.

Pembahagian berterusan ialah pembahagian pemboleh ubah rawak berterusan.
...
| Nama pengedaran | Simbol pengedaran | Fungsi ketumpatan kebarangkalian (pdf) | Maksudnya | Varians |
|---|---|---|---|---|
|
f X ( x ) |
μ = E ( X ) |
σ 2 = Var ( X ) |
||
| Biasa / gaussian |
X ~ N (μ, σ 2 ) |
|
μ | σ 2 |
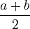
| Pakaian seragam |
X ~ U ( a , b ) |
![]() |
|
|
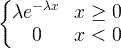
| Eksponensial | X ~ exp (λ) |
|
|
|
| Gamma | X ~ gamma ( c , λ) |
![]() x / 0, c / 0, λ/ 0 |
|
|
| Chi Square |
X ~ χ 2 ( k ) |
![]() |
k |
2 k |
| Wishart | ||||
| F |
X ~ F ( k 1 , k 2 ) |
|||
| Beta | ||||
| Weibull | ||||
| Log-normal |
X ~ LN (μ, σ 2 ) |
|||
| Rayleigh | ||||
| Cauchy | ||||
| Dirichlet | ||||
| Laplace | ||||
| Pungutan | ||||
| Nasi | ||||
| Pelajar t |
Pembahagian diskrit adalah pembahagian pemboleh ubah rawak diskrit.
...
| Nama pengedaran | Simbol pengedaran | Fungsi jisim kebarangkalian (pmf) | Maksudnya | Varians | |
|---|---|---|---|---|---|
|
f x ( k ) = P ( X = k ) k = 0,1,2, ... |
E ( x ) | Var ( x ) | |||
| Binomial |
X ~ Bin ( n , p ) |
|
np |
np (1- p ) |
|
| Poisson |
X ~ Poisson (λ) |
|
λ ≥ 0 |
λ |
λ |
| Pakaian seragam |
X ~ U ( a, b ) |
![]() |
|
|
|
| Geometri |
X ~ Geom ( hlm ) |
|
|
|
|
| Hyper-geometri |
X ~ HG ( N , K , n ) |
![]() |
N = 0,1,2, ... K = 0,1, .., N n = 0,1, ..., N |
|
|
| Bernoulli |
X ~ Bern ( hlm ) |
![]() |
p |
p (1- p ) |
|
Advertising