Definiție și calcule ale rezistenței electrice.
Rezistența este o cantitate electrică care măsoară modul în care dispozitivul sau materialul reduce fluxul de curent electric prin el.
Rezistența este măsurată în unități de ohmi (Ω).
Dacă facem o analogie cu debitul de apă din conducte, rezistența este mai mare atunci când conducta este mai subțire, astfel încât debitul de apă este scăzut.
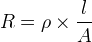
Rezistența unui conductor este rezistivitatea materialului conductorului de lungimea conductorului împărțită la secțiunea transversală a conductorului.
![]()
R este rezistența în ohmi (Ω).
ρ este rezistivitatea în ohmi-metru (Ω × m)
l este lungimea conductorului în metri (m)
A este aria secțiunii transversale a conductorului în metri pătrați (m 2 )
Este ușor de înțeles această formulă cu analogia conductelor de apă:
![]()
R este rezistența rezistenței în ohmi (Ω).
V este căderea de tensiune a rezistorului în volți (V).
I este curentul rezistenței în amperi (A).
Rezistența unui rezistor crește atunci când temperatura rezistorului crește.
R 2 = R 1 × (1 + α ( T 2 - T 1 ))
R 2 este rezistența la temperatura T 2 în ohmi (Ω).
R 1 este rezistența la temperatura T 1 în ohmi (Ω).
α este coeficientul de temperatură.

Rezistența echivalentă totală a rezistențelor în serie este suma valorilor rezistenței:
R Total = R 1 + R 2 + R 3 + ...

Rezistența echivalentă totală a rezistențelor în paralel este dată de:
![]()
Rezistența electrică este măsurată cu instrumentul ohmmetru.
Pentru a măsura rezistența unui rezistor sau a unui circuit, circuitul ar trebui să aibă sursa de alimentare oprită.
Ohmmetrul ar trebui să fie conectat la cele două capete ale circuitului, astfel încât rezistența să poată fi citită.
Superconductivitatea este scăderea rezistenței la zero la temperaturi foarte scăzute de aproape 0ºK.
Advertising