În probabilitate și statistici, distribuția este o caracteristică a unei variabile aleatoare, descrie probabilitatea variabilei aleatoare în fiecare valoare.
Fiecare distribuție are o anumită funcție de densitate a probabilității și funcție de distribuție a probabilității.
Deși există un număr nedefinit de distribuții de probabilitate, există mai multe distribuții comune în uz.
Distribuția probabilității este descrisă de funcția de distribuție cumulativă F (x),
care este probabilitatea ca variabila aleatorie X să obțină o valoare mai mică sau egală cu x:
F ( x ) = P ( X ≤ x )
Funcția de distribuție cumulativă F (x) este calculată prin integrarea funcției densității probabilității f (u) a variabilei aleatoare continue X.

Funcția de distribuție cumulativă F (x) se calculează prin însumarea funcției de probabilitate a masei P (u) a variabilei discrete aleatorii X.

Distribuția continuă este distribuția unei variabile aleatoare continue.
...
| Numele distribuției | Simbol de distribuție | Funcția densității probabilității (pdf) | Rău | Varianța |
|---|---|---|---|---|
|
f X ( x ) |
μ = E ( X ) |
σ 2 = Var ( X ) |
||
| Normal / gaussian |
X ~ N (μ, σ 2 ) |
|
μ | σ 2 |
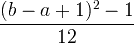
| Uniformă |
X ~ U ( a , b ) |
![]() |
|
|
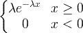
| Exponențială | X ~ exp (λ) |
|
|
|
| Gamma | X ~ gamma ( c , λ) |
![]() x / 0, c / 0, λ/ 0 |
|
|
| Chi pătrat |
X ~ χ 2 ( k ) |
![]() |
k |
2 k |
| Wishart | ||||
| F |
X ~ F ( k 1 , k 2 ) |
|||
| Beta | ||||
| Weibull | ||||
| Log-normal |
X ~ LN (μ, σ 2 ) |
|||
| Rayleigh | ||||
| Cauchy | ||||
| Dirichlet | ||||
| Laplace | ||||
| Taxă | ||||
| Orez | ||||
| Studentul este t |
Distribuția discretă este distribuția unei variabile aleatorii discrete.
...
| Numele distribuției | Simbol de distribuție | Funcția de masă a probabilității (pmf) | Rău | Varianța | |
|---|---|---|---|---|---|
|
f x ( k ) = P ( X = k ) k = 0,1,2, ... |
E ( x ) | Var ( x ) | |||
| Binom |
X ~ Bin ( n , p ) |
|
np |
np (1- p ) |
|
| Poisson |
X ~ Poisson (λ) |
|
λ ≥ 0 |
λ |
λ |
| Uniformă |
X ~ U ( a, b ) |
![]() |
|
|
|
| Geometric |
X ~ Geom ( p ) |
|
|
|
|
| Hiper-geometrică |
X ~ HG ( N , K , n ) |
![]() |
N = 0,1,2, ... K = 0,1, .., N n = 0,1, ..., N |
|
|
| Bernoulli |
X ~ Berna ( p ) |
![]() |
p |
p (1- p ) |
|
Advertising