Induktor je elektrická súčasť, ktorá uchováva energiu v magnetickom poli.
Induktor je vyrobený z cievky vodivého drôtu.
V schémach elektrického obvodu je induktor označený písmenom L.
Indukčnosť sa meria v jednotkách Henryho [L].
Induktor znižuje prúd v striedavých obvodoch a skrat v jednosmerných obvodoch.
![]()
Induktor |
|
Induktor so železným jadrom |
|
Variabilný tlmivka |
|
Pre niekoľko induktorov v sérii je celková ekvivalentná indukčnosť:
L spolu = L 1 + L 2 + L 3 + ...
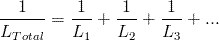
Pre niekoľko induktorov paralelne je celková ekvivalentná indukčnosť:
![]()
![]()

![]()
X L = ωL
Karteziánska forma:
Z L = jX L = jωL
Polárna forma:
Z L = X L ∠90 °