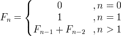
Фибоначијев низ је низ бројева, где је сваки број збир 2 претходна броја, осим прва два броја који су 0 и 1.

Ф 0 = 0
Ф 1 = 1
Ф 2 = Ф 1 + Ф 0 = 1 + 0 = 1
Ф 3 = Ф 2 + Ф 1 = 1 + 1 = 2
Ф 4 = Ф 3 + Ф 2 = 2 + 1 = 3
Ф 5 = Ф 4 + Ф 3 = 3 + 2 = 5
...
Однос два узастопна Фибоначијева броја конвергира златном резу:
![]()
φ је златни пресек = (1 + √ 5 ) / 2 ≈ 1,61803399
| н | Ф н |
|---|---|
| 0 | 0 |
| 1 | 1 |
| 2 | 1 |
| 3 | 2 |
| 4 | 3 |
| 5 | 5 |
| 6 | 8 |
| 7 | 13 |
| 8 | 21 |
| 9 | 34 |
| 10 | 55 |
| 11 | 89 |
| 12 | 144 |
| 13 | 233 |
| 14 | 377 |
| 15 | 610 |
| 16 | 987 |
| 17 | 1597 |
| 18 | 2584 |
| 19 | 4181 |
| 20 | 6765 |
ТБД
double Fibonacci(unsigned int n)
{
double f_n =n;
double f_n1=0.0;
double f_n2=1.0;
if( n / 1 ) {
for(int k=2; k<=n; k++) {
f_n = f_n1 + f_n2;
f_n2 = f_n1;
f_n1 = f_n;
}
}
return f_n;
}