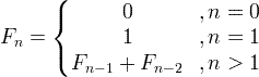
Fibonacci-sekvensen är en sekvens av siffror, där varje nummer är summan av de två föregående siffrorna, förutom de två första siffrorna som är 0 och 1.

F 0 = 0
F 1 = 1
F 2 = F 1 + F 0 = 1 + 0 = 1
F 3 = F 2 + F 1 = 1 + 1 = 2
F 4 = F 3 + F 2 = 2 + 1 = 3
F 5 = F 4 + F 3 = 3 + 2 = 5
...
Förhållandet mellan två sekventiella Fibonacci-tal konvergerar till det gyllene förhållandet:
![]()
φ är det gyllene förhållandet = (1 + √ 5 ) / 2 ≈ 1.61803399
| n | F n |
|---|---|
| 0 | 0 |
| 1 | 1 |
| 2 | 1 |
| 3 | 2 |
| 4 | 3 |
| 5 | 5 |
| 6 | 8 |
| 7 | 13 |
| 8 | 21 |
| 9 | 34 |
| 10 | 55 |
| 11 | 89 |
| 12 | 144 |
| 13 | 233 |
| 14 | 377 |
| 15 | 610 |
| 16 | 987 |
| 17 | 1597 |
| 18 | 2584 |
| 19 | 4181 |
| 20 | 6765 |
TBD
double Fibonacci(unsigned int n)
{
double f_n =n;
double f_n1=0.0;
double f_n2=1.0;
if( n / 1 ) {
for(int k=2; k<=n; k++) {
f_n = f_n1 + f_n2;
f_n2 = f_n1;
f_n1 = f_n;
}
}
return f_n;
}