นิยามและการคำนวณความต้านทานไฟฟ้า
ความต้านทานคือปริมาณไฟฟ้าที่วัดว่าอุปกรณ์หรือวัสดุลดกระแสไฟฟ้าไหลผ่านอย่างไร
ความต้านทานวัดเป็นหน่วยโอห์ม (Ω)
หากเราทำการเปรียบเทียบกับการไหลของน้ำในท่อความต้านทานจะใหญ่กว่าเมื่อท่อบางลงการไหลของน้ำจึงลดลง
ความต้านทานของตัวนำคือความต้านทานของวัสดุของตัวนำคูณความยาวของตัวนำหารด้วยพื้นที่หน้าตัดของตัวนำ
![]()
R คือความต้านทานเป็นโอห์ม (Ω)
ρ คือความต้านทานในโอห์มเมตร (Ω× m)
l คือความยาวของตัวนำในหน่วยเมตร (m)
A คือพื้นที่หน้าตัดของตัวนำเป็นตารางเมตร (m 2 )
เป็นเรื่องง่ายที่จะเข้าใจสูตรนี้เมื่อเปรียบเทียบกับท่อน้ำ:
![]()
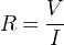
Rคือความต้านทานของตัวต้านทานในหน่วยโอห์ม (Ω)
Vคือแรงดันตกที่ตัวต้านทานในหน่วยโวลต์ (V)
ฉันคือกระแสของตัวต้านทานในหน่วยแอมแปร์ (A)
ความต้านทานของตัวต้านทานจะเพิ่มขึ้นเมื่ออุณหภูมิของตัวต้านทานเพิ่มขึ้น
R 2 = R 1 × (1 + α ( T 2 - T 1 ))
R 2คือความต้านทานที่อุณหภูมิ T 2ในโอห์ม (Ω)
R 1คือความต้านทานที่อุณหภูมิ T 1ในโอห์ม (Ω)
αคือค่าสัมประสิทธิ์อุณหภูมิ

ความต้านทานเทียบเท่าทั้งหมดของตัวต้านทานในอนุกรมคือผลรวมของค่าความต้านทาน:
R รวม = R 1 + R 2 + R 3 + ...

ความต้านทานเทียบเท่าทั้งหมดของตัวต้านทานแบบขนานได้รับจาก:
![]()
ความต้านทานไฟฟ้าวัดได้ด้วยเครื่องมือโอห์มมิเตอร์
ในการวัดความต้านทานของตัวต้านทานหรือวงจรวงจรควรปิดแหล่งจ่ายไฟ
ควรต่อโอห์มมิเตอร์เข้ากับปลายทั้งสองของวงจรเพื่อให้อ่านค่าความต้านทานได้
ความเป็นตัวนำยิ่งยวดคือการลดลงของความต้านทานต่อศูนย์ที่อุณหภูมิต่ำมากใกล้0ºK
Advertising