Ang Inductor ay isang sangkap na elektrikal na nag-iimbak ng enerhiya sa magnetic field.
Ang inductor ay gawa sa isang likid ng pagsasagawa ng kawad.
Sa isang iskolar ng circuit ng kuryente, ang inductor ay minarkahan ng titik na L
Ang inductance ay sinusukat sa mga yunit ng Henry [L].
Ang inductor ay nagbabawas ng kasalukuyang sa AC circuit at maikling circuit sa DC circuit.
![]()
Induktor |
|
Iron core inductor |
|
Variable inductor |
|
Para sa maraming mga inductors sa serye ang kabuuang katumbas na inductance ay:
L Kabuuang = L 1 + L 2 + L 3 + ...
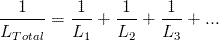
Para sa maraming mga inductors na kahanay ang kabuuang katumbas na inductance ay:
![]()
![]()

![]()
X L = ωL
Form na Cartesian:
Z L = jX L = jωL
Form ng polar:
Z L = X L ∠90º