6 ہندسوں کا ہیکس کوڈ درج کریں یا سرخ ، سبز اور نیلے رنگ کی سطح درج کریں (0..255) اور کنورٹ بٹن دبائیں:
0 ، 255 سے 0..1 تک کی حد کو تبدیل کرنے کے لئے R ، G ، B کی اقدار کو 255 سے تقسیم کیا گیا ہے۔
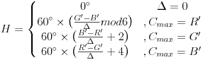
ر '= آر / 255
جی '= جی / 255
بی '= بی / 255
Cmax = زیادہ سے زیادہ ( R '، G '، B ')
Cmin = منٹ ( ر '، جی '، B ')
. = Cmax - Cmin
ہیو حساب:

سنترپتی حساب:

قیمت کا حساب:
V = Cmax
| رنگ | رنگ نام |
ہیکس | (آر ، جی ، بی) | (ایچ - ایس - وی) |
|---|---|---|---|---|
| سیاہ | # 000000 | (0،0،0) | (0 °، 0٪، 0٪) | |
| سفید | #FFFFFF | (255،255،255) | (0 °، 0٪، 100٪) | |
| سرخ | # FF0000 | (255،0،0) | (0 °، 100٪، 100٪) | |
| لیموں | # 00FF00 | (0،255،0) | (120 ° ، 100٪ ، 100٪) | |
| نیلا | # 0000FF | (0،0،255) | (240 ° ، 100٪ ، 100٪) | |
| پیلا | # FFFF00 | (255،255،0) | (60 ° ، 100٪ ، 100٪) | |
| سیان | # 00FFFF | (0،255،255) | (180 ° ، 100٪ ، 100٪) | |
| میجنٹا | # FF00FF | (255،0،255) | (300 ° ، 100٪ ، 100٪) | |
| چاندی | #BFBFBF | (191،191،191) | (0 ° ، 0٪ ، 75٪) | |
| سرمئی | # 808080 | (128،128،128) | (0 °، 0٪، 50٪) | |
| میارون | # 800000 | (128،0،0) | (0 °، 100٪، 50٪) | |
| زیتون | # 808000 | (128،128،0) | (60 ° ، 100٪ ، 50٪) | |
| سبز | # 008000 | (0،128،0) | (120 ° ، 100٪ ، 50٪) | |
| ارغوانی | # 800080 | (128،0،128) | (300 ° ، 100٪ ، 50٪) | |
| ٹیل | # 008080 | (0،128،128) | (180 ° ، 100٪ ، 50٪) | |
| بحریہ | # 000080 | (0،0،128) | (240 ° ، 100٪ ، 50٪) |