بجلی کے خلاف مزاحمت کی تعریف اور حساب کتاب۔
مزاحمت ایک برقی مقدار ہے جو پیمائش کرتی ہے کہ آلہ یا ماد itہ اس سے بجلی کے بہاؤ کو کس طرح کم کرتا ہے۔
مزاحمت اوہم (Ω) کی اکائیوں میں ماپا جاتا ہے ۔
اگر ہم پائپوں میں پانی کے بہاؤ سے مشابہت کرتے ہیں تو ، جب پائپ پتلا ہوتا ہے تو مزاحمت زیادہ ہوتی ہے ، لہذا پانی کا بہاؤ کم ہوجاتا ہے۔
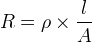
کنڈکٹر کی مزاحمت موصل کی ماد timesی اوقات کے خلاف مزاحمت ہوتی ہے جو موصل کی طوالت موصل کے کراس سیکشنل سیکشن ایریا سے تقسیم ہوتی ہے۔
![]()
اوہم (Ω) میں مزاحمت ہے۔
اوہس میٹر (Ω × m) میں مزاحمتی صلاحیت ہے
l میٹر (میٹر) میں موصل کی لمبائی ہے
A مربع میٹر (میٹر 2 ) میں کنڈکٹر کا کراس سیکشنل ایریا ہے
پانی کے پائپوں کے مشابہت سے اس فارمولے کو سمجھنا آسان ہے۔
![]()
R ohms میں رزسٹر (Ω) کے خلاف مزاحمت ہے.
V وولٹ (V) میں ریزٹر پر وولٹیج ڈراپ ہے۔
میں amperes (A) میں مزاحم کی موجودہ ہوں ۔
جب مزاحم کا درجہ حرارت بڑھ جاتا ہے تو مزاحم کی مزاحمت بڑھ جاتی ہے۔
R 2 = R 1 × (1 + α ( T 2 - T 1 ))
R 2 درجہ حرارت T 2 پر اوہم ( R ) میں مزاحمت ہے ۔
R 1 درجہ حرارت T 1 میں اوہمس (Ω) میں مزاحمت ہے ۔
α درجہ حرارت کی گنجائش ہے۔

سلسلہ میں مزاحموں کی کل مساوی مزاحمت مزاحمت کی اقدار کا مجموعہ ہے۔
R ٹوٹل = R 1 + R 2 + R 3 + ...

متوازی طور پر مزاحموں کی مساوی مزاحمت کی طرف سے دیا گیا ہے:
![]()
بجلی کے خلاف مزاحمت اوہ میٹر میٹر کے ذریعہ ماپا جاتا ہے۔
ایک ریزسٹر یا سرکٹ کی مزاحمت کی پیمائش کرنے کے لئے ، سرکٹ کو بجلی کی فراہمی بند کردی جانی چاہئے۔
اوہ میٹر کو سرکٹ کے دو سروں سے منسلک کیا جانا چاہئے تاکہ مزاحمت پڑھی جاسکے۔
سپر کامکیوٹیٹیٹیٹیٹی 0 0 کے قریب انتہائی کم درجہ حرارت پر صفر پر مزاحمت کا قطرہ ہے۔