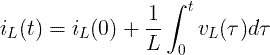
Индукторът е електрически компонент, който съхранява енергия в магнитно поле.
Индукторът е направен от намотка от проводящ проводник.
В схеми на електрическа верига индукторът, маркиран с буквата L.
Индуктивността се измерва в единици на Хенри [L].
Индуктор намалява тока в променливотокови вериги и късо съединение в постояннотокови вериги.
![]()
Индуктор |
|
Индуктор с желязна сърцевина |
|
Променлив индуктор |
|
За няколко последователни индуктори общата еквивалентна индуктивност е:
L Общо = L 1 + L 2 + L 3 + ...
За няколко паралелни индуктори общата еквивалентна индуктивност е:
![]()
![]()

![]()
X L = ωL
Декартова форма:
Z L = jX L = jωL
Полярна форма:
Z L = X L ∠90º