Какво е изчисление на резистор и резистор.
Резисторът е електрически компонент, който намалява електрическия ток.
Способността на резистора да намалява тока се нарича съпротивление и се измерва в единици ома (символ: Ω).
Ако направим аналогия с водния поток през тръби, резисторът е тънка тръба, която намалява водния поток.
Токът на резистора I в ампера (A) е равен на напрежението на резистора V във волта (V)
разделено на съпротивлението R в ома (Ω):
![]()
Консумацията на енергия на резистора P във ватове (W) е равна на тока на резистора I в усилватели (A)
умножено по напрежение на резистора V във волта (V):
P = I × V
Консумацията на енергия на резистора P във ватове (W) е равна на квадратната стойност на тока I на резистора в ампери (A)
умножено по съпротивлението на резистора R в ома (Ω):
P = I 2 × R
Консумацията на енергия на резистора P във ватове (W) е равна на квадратната стойност на напрежението V на резистора във волта (V)
разделено на съпротивлението на резистора R в ома (Ω):
P = V 2 / R

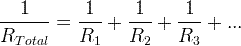
Общото еквивалентно съпротивление на резистори в паралел R Общо се дава от:
![]()
Така че, когато добавяте резистори паралелно, общото съпротивление намалява.

Общото еквивалентно съпротивление на резистори в серия R общо е сумата от стойностите на съпротивлението:
R общо = R 1 + R 2 + R 3 + ...
Така че, когато добавяте резистори последователно, общото съпротивление се увеличава.
Съпротивлението R в ома (Ω) на резистор е равно на съпротивлението ρ в ома метри (Ω ∙ m), умножено по дължината на резистора l в метри (m), разделено на площта на напречното сечение на резистора A в квадратни метри (m 2 ):
![]()
![]()
| Резистор (IEEE) | Резисторът намалява текущия поток. | |
| Резистор (IEC) | ||
| Потенциометър (IEEE) | Регулируем резистор - има 3 клеми. | |
| Потенциометър (IEC) | ||
| Променлив резистор / реостат (IEEE) | Регулируем резистор - има 2 клеми. | |
| Променлив резистор / реостат (IEC) | ||
| Тример резистор | Представя резистор | |
| Термистор | Термичен резистор - промяна на съпротивлението при промяна на температурата | |
| Фоторезистор / светлозависим резистор (LDR) | Променя съпротивлението според светлината |
Съпротивлението на резистора и неговият толеранс са маркирани на резистора с ленти с цветен код, който обозначава стойността на съпротивлението.
Има 3 вида цветови кодове:
R = (10 × цифра 1 + цифра 2 ) × множител
R = (100 × цифра 1 + 10 × цифра 2 + цифра 3 ) × множител
| Променлив резистор | Променлив резистор има регулируемо съпротивление (2 клеми) |
| Потенциометър | Потенциометърът има регулируемо съпротивление (3 клеми) |
| Фоторезистор | Намалява устойчивостта при излагане на светлина |
| Захранващ резистор | Захранващият резистор се използва за вериги с висока мощност и има големи размери. |
| Повърхностно монтиране (SMT / SMD) резистор |
SMT / SMD резисторите имат малки размери. Резисторите са монтирани повърхностно върху печатната платка (PCB), този метод е бърз и изисква малка площ на платката. |
| Резисторна мрежа | Резисторната мрежа е чип, който съдържа няколко резистора с подобни или различни стойности. |
| Въглероден резистор | |
| Резистор за чип | |
| Металооксиден резистор | |
| Керамичен резистор |
В цифровите схеми изтеглящият резистор е обикновен резистор, който е свързан към захранването с високо напрежение (напр. + 5V или + 12V) и задава входното или изходното ниво на устройство на „1“.
Издърпващият резистор задава нивото на „1“, когато входът / изходът са изключени. Когато входът / изходът са свързани, нивото се определя от устройството и заменя издърпващия резистор.
В цифровите вериги падащият резистор е обикновен резистор, който е свързан към земята (0V) и задава входното или изходното ниво на устройство на „0“.
Падащият резистор задава нивото на „0“, когато входът / изходът са изключени. Когато входът / изходът са свързани, нивото се определя от устройството и отменя падащия резистор.