Τι είναι οι υπολογισμοί πυκνωτών και πυκνωτών.
Το Capacitor είναι ένα ηλεκτρονικό εξάρτημα που αποθηκεύει ηλεκτρικό φορτίο . Ο πυκνωτής αποτελείται από 2 στενούς αγωγούς (συνήθως πλάκες) που χωρίζονται από ένα διηλεκτρικό υλικό. Οι πλάκες συσσωρεύουν ηλεκτρικό φορτίο όταν συνδέονται με την πηγή ισχύος. Η μία πλάκα συσσωρεύει θετικό φορτίο και η άλλη πλάκα συσσωρεύει αρνητικό φορτίο.
Η χωρητικότητα είναι η ποσότητα ηλεκτρικού φορτίου που αποθηκεύεται στον πυκνωτή σε τάση 1 Volt.
Η χωρητικότητα μετράται σε μονάδες Farad (F).
Ο πυκνωτής αποσυνδέει ρεύμα σε κυκλώματα συνεχούς ρεύματος (DC) και βραχυκύκλωμα σε κυκλώματα εναλλασσόμενου ρεύματος (AC).
![]()
Πυκνωτής |
||
Πολωμένος πυκνωτής |
||
Μεταβλητός πυκνωτής |
Η χωρητικότητα (C) του πυκνωτή είναι ίση με το ηλεκτρικό φορτίο (Q) διαιρούμενο με την τάση (V):
![]()
C είναι η χωρητικότητα στο farad (F)
Q είναι το ηλεκτρικό φορτίο σε coulombs (C), που αποθηκεύεται στον πυκνωτή
V είναι η τάση μεταξύ των πλακών του πυκνωτή σε βολτ (V)
Η χωρητικότητα (C) του πυκνωτή πλακών είναι ίση με τη διαπερατότητα (ε) επί το εμβαδόν της πλάκας (A) διαιρούμενο με το κενό ή την απόσταση μεταξύ των πλακών (d):
![]()
C είναι η χωρητικότητα του πυκνωτή, στο farad (F).
ε είναι η διαπερατότητα του διαλεκτικού υλικού του πυκνωτή, σε farad ανά μέτρο (F / m).
Α είναι η περιοχή της πλάκας του πυκνωτή σε τετραγωνικά μέτρα (m 2 ).
d είναι η απόσταση μεταξύ των πλακών του πυκνωτή, σε μέτρα (m).

Η συνολική χωρητικότητα των πυκνωτών σε σειρά, C1, C2, C3, ..:
![]()

Η συνολική χωρητικότητα των πυκνωτών παράλληλα, C1, C2, C3, ..:
C Σύνολο = C 1 + C 2 + C 3 + ...
Το στιγμιαίο ρεύμα του πυκνωτή i c (t) είναι ίσο με την χωρητικότητα του πυκνωτή,
επί το παράγωγο της τάσης του στιγμιαίου πυκνωτή v c (t):
![]()
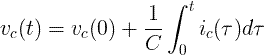
Η στιγμιαία τάση του πυκνωτή v c (t) είναι ίση με την αρχική τάση του πυκνωτή,
συν 1 / C επί την ολοκλήρωση του ρεύματος του στιγμιαίου πυκνωτή i c (t) με την πάροδο του χρόνου t:

Η αποθηκευμένη ενέργεια E C του πυκνωτή σε joules (J) είναι ίση με την χωρητικότητα C στο farad (F)
φορές την τάση του τετραγωνικού πυκνωτή V C σε βολτ (V) διαιρούμενη με 2:
E C = C × V C 2 /2
ω = 2 π f
ω - γωνιακή ταχύτητα μετρημένη σε ακτίνια ανά δευτερόλεπτο (rad / s)
f - συχνότητα μετρούμενη σε hertz (Hz).
![]()
Καρτεσιανή μορφή:
![]()
Πολική μορφή:
Z C = X C ∟-90º
| Μεταβλητός πυκνωτής | Ο μεταβλητός πυκνωτής έχει μεταβλητή χωρητικότητα |
| Ηλεκτρολυτικός πυκνωτής | Οι ηλεκτρολυτικοί πυκνωτές χρησιμοποιούνται όταν απαιτείται υψηλή χωρητικότητα. Οι περισσότεροι από τους ηλεκτρολυτικούς πυκνωτές είναι πολωμένοι |
| Σφαιρικός πυκνωτής | Ο σφαιρικός πυκνωτής έχει σχήμα σφαίρας |
| Πυκνωτής ισχύος | Οι πυκνωτές ισχύος χρησιμοποιούνται σε συστήματα ισχύος υψηλής τάσης. |
| Κεραμικός πυκνωτής | Ο κεραμικός πυκνωτής έχει κεραμικό διηλεκτρικό υλικό. Έχει λειτουργικότητα υψηλής τάσης. |
| Πυκνωτής τανταλίου | Διηλεκτρικό υλικό οξειδίου τανταλίου. Έχει υψηλή χωρητικότητα |
| Πυκνωτής Mica | Πυκνωτές υψηλής ακρίβειας |
| Πυκνωτής χαρτιού | Διηλεκτρικό υλικό χαρτιού |