Τι είναι οι υπολογισμοί αντίστασης και αντίστασης.
Η αντίσταση είναι ένα ηλεκτρικό στοιχείο που μειώνει το ηλεκτρικό ρεύμα.
Η ικανότητα της αντίστασης να μειώσει το ρεύμα ονομάζεται αντίσταση και μετριέται σε μονάδες ohms (σύμβολο: Ω).
Εάν κάνουμε μια αναλογία με τη ροή του νερού μέσω σωλήνων, η αντίσταση είναι ένας λεπτός σωλήνας που μειώνει τη ροή του νερού.
Το ρεύμα αντίστασης I σε ενισχυτές (A) είναι ίσο με την τάση V της αντίστασης σε βολτ (V)
διαιρούμενο με την αντίσταση R σε ohms (Ω):
![]()
Η κατανάλωση ισχύος της αντίστασης P σε watt (W) είναι ίση με το ρεύμα αντίστασης I σε ενισχυτές (A)
φορές την τάση V της αντίστασης σε βολτ (V):
P = I × V
Η κατανάλωση ισχύος της αντίστασης P σε watt (W) είναι ίση με την τετραγωνική τιμή του ρεύματος αντίστασης I σε ενισχυτές (A)
φορές την αντίσταση R της αντίστασης σε ohms (Ω):
P = I 2 × R
Η κατανάλωση ισχύος της αντίστασης P σε watt (W) είναι ίση με την τετραγωνική τιμή της τάσης V της αντίστασης σε volt (V)
διαιρούμενο με την αντίσταση R της αντίστασης σε ohms (Ω):
P = V 2 / R

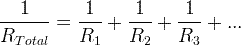
Η συνολική ισοδύναμη αντίσταση των αντιστάσεων παράλληλα R Total δίνεται από:
![]()
Έτσι, όταν προσθέτετε αντιστάσεις παράλληλα, η συνολική αντίσταση μειώνεται.

Η συνολική ισοδύναμη αντίσταση των αντιστατών σε σειρά R συνολικά είναι το άθροισμα των τιμών αντίστασης:
Σύνολο R = R 1 + R 2 + R 3 + ...
Έτσι, όταν προσθέτετε αντιστάσεις σε σειρά, αυξάνεται η συνολική αντίσταση.
Η αντίσταση R σε ohms (Ω) μιας αντίστασης είναι ίση με την αντίσταση ρ σε ohm-μέτρα (Ω ∙ m) επί το μήκος της αντίστασης l σε μέτρα (m) διαιρούμενη με την περιοχή διατομής της αντίστασης Α σε τετραγωνικά μέτρα (m 2 ):
![]()
![]()
| Αντίσταση (IEEE) | Η αντίσταση μειώνει την τρέχουσα ροή. | |
| Αντίσταση (IEC) | ||
| Ποτενσιόμετρο (IEEE) | Ρυθμιζόμενη αντίσταση - έχει 3 ακροδέκτες. | |
| Ποτενσιόμετρο (IEC) | ||
| Μεταβλητή αντίσταση / ρεοστάτης (IEEE) | Ρυθμιζόμενη αντίσταση - έχει 2 ακροδέκτες. | |
| Μεταβλητή αντίσταση / ρεοστάτης (IEC) | ||
| Αντίσταση κοπής | Presest αντίσταση | |
| Θερμίστορ | Θερμική αντίσταση - αλλάξτε αντίσταση όταν αλλάζει η θερμοκρασία | |
| Φωτοαντίσταση / αντίσταση που εξαρτάται από το φως (LDR) | Αλλάζει την αντίσταση ανάλογα με το φως |
Η αντίσταση της αντίστασης και η ανοχή της σημειώνονται στην αντίσταση με ζώνες χρώματος που υποδηλώνουν την τιμή αντίστασης.
Υπάρχουν 3 τύποι κωδικών χρώματος:
R = (10 × ψηφίο 1 + ψηφίο 2 ) × πολλαπλασιαστή
R = (100 × ψηφίο 1 + 10 × ψηφίο 2 + ψηφίο 3 ) × πολλαπλασιαστή
| Μεταβλητή αντίσταση | Η μεταβλητή αντίσταση έχει ρυθμιζόμενη αντίσταση (2 ακροδέκτες) |
| Ποτενσιόμετρο | Το ποτενσιόμετρο έχει ρυθμιζόμενη αντίσταση (3 ακροδέκτες) |
| Αντίσταση φωτογραφίας | Μειώνει την αντίσταση όταν εκτίθεται στο φως |
| Αντίσταση ισχύος | Η αντίσταση ισχύος χρησιμοποιείται για κυκλώματα υψηλής ισχύος και έχει μεγάλες διαστάσεις. |
| Αναρτημένο στην επιφάνεια (SMT / SMD) αντίσταση |
Οι αντιστάσεις SMT / SMD έχουν μικρές διαστάσεις. Οι αντιστάσεις είναι επιφανειακές τοποθετημένες στην πλακέτα τυπωμένου κυκλώματος (PCB), αυτή η μέθοδος είναι γρήγορη και απαιτεί μικρή επιφάνεια πλακέτας. |
| Δίκτυο αντιστάσεων | Το δίκτυο αντιστάσεων είναι ένα τσιπ που περιέχει αρκετές αντιστάσεις με παρόμοιες ή διαφορετικές τιμές. |
| Αντίσταση άνθρακα | |
| Αντίσταση τσιπ | |
| Αντίσταση μετάλλου-οξειδίου | |
| Κεραμική αντίσταση |
Στα ψηφιακά κυκλώματα, η αντίσταση pull-up είναι μια κανονική αντίσταση που συνδέεται με την παροχή υψηλής τάσης (π.χ. + 5V ή + 12V) και ρυθμίζει το επίπεδο εισόδου ή εξόδου μιας συσκευής σε «1».
Η αντίσταση pull-up θέτει το επίπεδο σε «1» όταν αποσυνδέεται η είσοδος / έξοδος. Όταν η είσοδος / έξοδος είναι συνδεδεμένη, το επίπεδο καθορίζεται από τη συσκευή και παρακάμπτει την αντίσταση έλξης.
Στα ψηφιακά κυκλώματα, η αντίσταση pull-down είναι μια κανονική αντίσταση που συνδέεται με τη γείωση (0V) και ορίζει το επίπεδο εισόδου ή εξόδου μιας συσκευής σε «0».
Η αντίσταση pull-down ρυθμίζει το επίπεδο στο '0' όταν αποσυνδέεται η είσοδος / έξοδος. Όταν η είσοδος / έξοδος είναι συνδεδεμένη, το επίπεδο καθορίζεται από τη συσκευή και παρακάμπτει την αντίσταση προς τα κάτω.