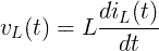
Το Inductor είναι ένα ηλεκτρικό στοιχείο που αποθηκεύει ενέργεια στο μαγνητικό πεδίο.
Ο επαγωγέας είναι κατασκευασμένος από ένα πηνίο αγώγιμου σύρματος.
Σε σχήματα ηλεκτρικού κυκλώματος, ο επαγωγέας σημειώνεται με το γράμμα L.
Η επαγωγή μετράται σε μονάδες του Henry [L].
Ο επαγωγέας μειώνει το ρεύμα στα κυκλώματα εναλλασσόμενου ρεύματος και το βραχυκύκλωμα στα κυκλώματα DC
![]()
Επαγωγέας |
|
Επαγωγέας πυρήνα σιδήρου |
|
Μεταβλητός επαγωγέας |
|
Για πολλούς επαγωγείς εν σειρά η συνολική ισοδύναμη επαγωγή είναι:
L Σύνολο = L 1 + L 2 + L 3 + ...
Για πολλούς επαγωγείς παράλληλα η συνολική ισοδύναμη επαγωγή είναι:
![]()
![]()

![]()
X L = ωL
Καρτεσιανή μορφή:
Z L = jX L = jωL
Πολική μορφή:
Z L = X L ∠90º