Что такое конденсатор и расчет конденсатора.
Конденсатор - это электронный компонент, который хранит электрический заряд . Конденсатор состоит из двух близких проводников (обычно пластин), разделенных диэлектрическим материалом. Пластины накапливают электрический заряд при подключении к источнику питания. Одна пластина накапливает положительный заряд, а другая пластина - отрицательный.
Емкость - это количество электрического заряда, которое сохраняется в конденсаторе при напряжении 1 Вольт.
Емкость измеряется в единицах Фарад (Ф).
Конденсатор отключает ток в цепях постоянного (DC) и короткое замыкание в цепях переменного (AC) тока.
![]()
Конденсатор |
||
Поляризованный конденсатор |
||
Переменный конденсатор |
Емкость (C) конденсатора равна электрическому заряду (Q), деленному на напряжение (V):
![]()
C - емкость в фарадах (Ф)
Q - это электрический заряд в кулонах (Кл), который хранится на конденсаторе.
V - напряжение между пластинами конденсатора в вольтах (В)
Емкость (C) пластин конденсатора равна диэлектрической проницаемости (ε), умноженной на площадь пластины (A), деленную на зазор или расстояние между пластинами (d):
![]()
C - емкость конденсатора в фарадах (Ф).
ε - диэлектрическая проницаемость диалектического материала конденсатора в фарадах на метр (Ф / м).
A - площадь пластины конденсатора в квадратных метрах (м 2 ).
d - расстояние между пластинами конденсатора, в метрах (м).

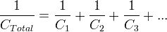
Суммарная емкость конденсаторов, включенных последовательно, C1, C2, C3, ..:
![]()

Суммарная емкость конденсаторов, включенных параллельно, C1, C2, C3, ..:
C Итого = C 1 + C 2 + C 3 + ...
Мгновенный ток конденсатора i c (t) равен емкости конденсатора,
умноженное на производную мгновенного напряжения конденсатора v c (t):
![]()
Мгновенное напряжение v c (t) конденсатора равно начальному напряжению конденсатора,
плюс 1 / C, умноженный на интеграл мгновенного тока конденсатора i c (t) за время t:

Накопленная в конденсаторе энергия E C в джоулях (Дж) равна емкости C в фарадах (F).
умноженное на напряжение квадратного конденсатора V C в вольтах (В), деленное на 2:
Е С = С × V С 2 /2
ω = 2 π f
ω - угловая скорость, измеренная в радианах в секунду (рад / с)
f - частота, измеренная в герцах (Гц).
![]()
Декартова форма:
![]()
Полярная форма:
Z C = X C ∟-90º
| Переменный конденсатор | Переменный конденсатор имеет изменяемую емкость |
| Электролитический конденсатор | Электролитические конденсаторы используются, когда требуется большая емкость. Большинство электролитических конденсаторов поляризованы. |
| Сферический конденсатор | Сферический конденсатор имеет форму шара |
| Конденсатор мощности | Силовые конденсаторы используются в высоковольтных энергосистемах. |
| Керамический конденсатор | Керамический конденсатор имеет керамический диэлектрический материал. Имеет функцию высокого напряжения. |
| Танталовый конденсатор | Диэлектрический материал из оксида тантала. Имеет высокую емкость |
| Конденсатор слюдяной | Конденсаторы высокой точности |
| Бумажный конденсатор | Бумажный диэлектрический материал |
Advertising