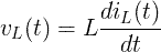
Индуктор - это электрический компонент, который накапливает энергию в магнитном поле.
Индуктор сделан из катушки с проводником.
На принципиальной электрической схеме катушка индуктивности обозначена буквой L.
Индуктивность измеряется в единицах Генри [л].
Индуктор снижает ток в цепях переменного тока и короткое замыкание в цепях постоянного тока.
![]()
Катушка индуктивности |
|
Индуктор с железным сердечником |
|
Переменный индуктор |
|
Для нескольких последовательно соединенных индукторов общая эквивалентная индуктивность составляет:
L Всего = L 1 + L 2 + L 3 + ...
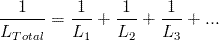
Для нескольких параллельно включенных индукторов общая эквивалентная индуктивность составляет:
![]()
![]()

![]()
X L = ωL
Декартова форма:
Z L = jX L = jωL
Полярная форма:
Z L = X L ∠90º
Advertising