Что такое резистор и расчет резистора.
Резистор - это электрический компонент, который снижает электрический ток.
Способность резистора уменьшать ток называется сопротивлением и измеряется в омах (обозначение: Ω).
Если провести аналогию с потоком воды по трубам, резистор представляет собой тонкую трубку, которая уменьшает поток воды.
Ток резистора I в амперах (А) равен напряжению резистора V в вольтах (В).
деленное на сопротивление R в омах (Ом):
![]()
Потребляемая мощность резистора P в ваттах (Вт) равна току резистора I в амперах (A).
умноженное на напряжение резистора V в вольтах (В):
P = I × V
Потребляемая мощность резистора P в ваттах (Вт) равна квадрату силы тока резистора I в амперах (A).
умноженное на сопротивление резистора R в омах (Ом):
P = I 2 × R
Потребляемая мощность резистора P в ваттах (Вт) равна квадрату напряжения резистора V в вольтах (В).
деленное на сопротивление резистора R в омах (Ом):
P = V 2 / R

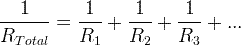
Общее эквивалентное сопротивление резисторов, включенных параллельно R Total , определяется как:
![]()
Поэтому, когда вы добавляете резисторы параллельно, общее сопротивление уменьшается.

Общее эквивалентное сопротивление резисторов в серии R total является суммой значений сопротивлений:
R всего = R 1 + R 2 + R 3 + ...
Поэтому, когда вы добавляете резисторы последовательно, общее сопротивление увеличивается.
Сопротивление резистора R в Ом (Ом) равно удельному сопротивлению ρ в Ом-метрах (Ом ∙ м), умноженному на длину резистора l в метрах (м), деленному на площадь поперечного сечения резистора A в квадратных метрах (м 2. ):
![]()
![]()
| Резистор (IEEE) | Резистор снижает ток. | |
| Резистор (IEC) | ||
| Потенциометр (IEEE) | Регулируемый резистор - имеет 3 вывода. | |
| Потенциометр (IEC) | ||
| Переменный резистор / реостат (IEEE) | Регулируемый резистор - имеет 2 вывода. | |
| Переменный резистор / реостат (IEC) | ||
| Подстроечный резистор | Пресест резистор | |
| Термистор | Терморезистор - изменение сопротивления при изменении температуры | |
| Фоторезистор / светозависимый резистор (LDR) | Изменяет сопротивление в зависимости от света |
Сопротивление резистора и его допуски отмечены на резисторе полосами цветного кода, которые обозначают значение сопротивления.
Есть 3 типа цветовых кодов:
R = (10 × цифра 1 + цифра 2 ) × множитель
R = (100 × цифра 1 + 10 × цифра 2 + цифра 3 ) × множитель
| Переменный резистор | Переменный резистор имеет регулируемое сопротивление (2 клеммы) |
| Потенциометр | Потенциометр имеет регулируемое сопротивление (3 клеммы) |
| Фоторезистор | Снижает сопротивление при воздействии света |
| Силовой резистор | Силовой резистор применяется в цепях большой мощности и имеет большие габариты. |
| Поверхностный монтаж (SMT / SMD) резистор |
Резисторы SMT / SMD имеют небольшие габариты. Резисторы устанавливаются на печатную плату (PCB), этот метод быстрый и требует небольшой площади платы. |
| Сеть резисторов | Сеть резисторов - это микросхема, содержащая несколько резисторов с одинаковыми или разными номиналами. |
| Углеродный резистор | |
| Чип резистор | |
| Металлооксидный резистор | |
| Керамический резистор |
В цифровых схемах подтягивающий резистор - это обычный резистор, который подключен к источнику высокого напряжения (например, + 5 В или + 12 В) и устанавливает уровень входа или выхода устройства на «1».
Подтягивающий резистор устанавливает уровень на «1», когда вход / выход отключен. Когда вход / выход подключен, уровень определяется устройством и отменяет подтягивающий резистор.
В цифровых схемах понижающий резистор - это обычный резистор, который подключен к земле (0 В) и устанавливает уровень входа или выхода устройства на «0».
Понижающий резистор устанавливает уровень на «0», когда вход / выход отключен. Когда вход / выход подключен, уровень определяется устройством и перекрывает понижающий резистор.
Advertising